分享:統計假設檢驗在金屬材料室溫拉伸試驗 質量控制中的應用
摘 要:簡單分析了影響金屬材料室溫拉伸試驗結果的因素,闡述了質量控制在理化檢驗中的作用,介紹了質量控制的常用方法和統計假設檢驗的常用數據分析方法.通過質量控制應用實例,采用基于格拉布斯(Grubbs)檢驗法、F 檢驗法、T 檢驗法的統計假設檢驗數據分析方法,對金屬材料室溫拉伸試驗方法及檢驗過程進行了離群數據判定、等精度測量判定、數據一致性判定等詳細的質控分析.結果表明:金屬材料室溫拉伸試驗方法及檢驗過程在有效控制范圍內,試驗結果準確可靠,符合日常檢驗要求.
關鍵詞:金屬材料;拉伸試驗;統計假設檢驗;質量控制
中圖分類號:TG115.+52 文獻標志碼:A 文章編號:1001G4012(2017)08G0553G04
收稿日期:2017G06G09
作者簡介:魏源(1983-),男,碩士,主要從事金屬材料理化檢
驗和相關技術研究,46934333@qq.com
ApplicationofStatisticalHypothesisTestinginQualityControlon
TensileTestingofMetallicMaterialsatRoomTemperature
WEIYuan
(LongyanInstituteofQualityInspectionforProducts,Longyan364000,China)
Abstract:Factorsaffectingtensiletestresultsofmetallicmaterialsatroomtemperaturewerebrieflyanalyzed.Theroleofqualitycontrolinphysicalandchemicalinspectionwasdescribed,andthecommonmethodsonqualitycontrolandthedataanalysismethodsonstatisticalhypothesistestwereintroduced.Throughtheapplicationexamples,thequalitycontrolofthedeterminationofoutlierdata,equalprecisionmeasurementanddataconsistencyontensiletestingofmetallicmaterialsatroomtemperaturewasanalyzedindetail,basedonGrubbstest,FGtestandTGtest.Theresultsshowthatthetensiletestmethodandprocessofmetallicmaterialsatroomtemperaturearewithinthescopeofeffectivecontrol,andthetestresultsareaccurateandreliable,andcanmeettherequirementsofdailyinspection.
Keywords:metallicmaterial;tensiletesting;statisticalhypothesistesting;qualitycontrol
金屬材料力學性能試驗方法是檢測和評定金屬產品質量的重要手段之一,其中拉伸試驗是應用最廣泛的力學性能試驗方法,廣泛應用于棒、板、帶、管、型和絲材等冶金產品的質量檢驗及評估.拉伸性能指標是金屬材料研制、生產和檢驗最主要的測試項目之一,拉伸試驗過程中的各項強度和塑性性能指標是反映金屬材料力學性能的重要參數[1].
根據長期的工作經驗,筆者認為影響金屬材料室溫拉伸試驗結果的因素主要有以下幾個方面:
①人員,即檢驗人員日常操作的規范性及數據傳遞的準確性,比如試樣尺寸的測量、試樣橫截面積的測量、標距的測量等;②設備,即試驗設備的穩定性、可靠性及準確性,比如試驗機和引伸計的準確度、試驗機的加載同軸度、試驗機的夾具夾持等;③試樣,即取樣和制樣的正確性,比如取樣方法、取樣方向、取樣部位、試樣形狀和尺寸、加工精度等;④方法,即試驗方法的正確選擇,比如正確的夾持方法、合理的拉伸速率、適宜的測控模式等;⑤環境,即環境條件的穩定性,比如試驗溫度的控制等[2G5].
因此,在日常檢驗過程中,除了需要定期對儀器進行維護保養、按檢定規程要求進行定期校準/檢定553魏源:統計假設檢驗在金屬材料室溫拉伸試驗質量控制中的應用外,還應采用多種方式對拉伸試驗方法及檢驗過程進行質量控制,以保證檢驗結果的準確可靠.筆者通過質量控制應用實例,詳細闡述了如何應用統計假設檢驗對金屬材料室溫拉伸試驗進行質量控制和數據分析,以達到更加科學、合理、準確地評價檢驗過程的目的,為相關人員提供參考.
1 質量控制
質量控制是指利用現代科學管理的方法和技術分析試驗過程中的誤差,控制與分析有關的各個環節,確保試驗結果的準確可靠.質量控制的目的是把分析測試的誤差控制在允許的范圍內,保證分析的精密度和準確度,使分析數據在給定的置信水平內有把握達到要求的質量.
內部質量控制常用的方法主要有:平行樣測定、空白測定、使用標準曲線、加標回收率試驗、使用質量控制圖、實驗室內比對試驗、對存留試樣再檢測、測量不確定度評定等. 常用的數據分析方法主要有:穩健統計、數理統計等[6G9].
2 統計假設檢驗
統計假設檢驗是數理統計學中根據一定假設條件由樣本推斷總體的一種方法.根據問題的需要對
所研究的總體作某種假設,選取合適的統計量,由實測樣本計算出統計量值,并根據預先給定的顯著性水平進行檢驗,來判斷樣本與樣本、樣本與總體的差異的統計推斷方法[10].
常用的統計假設檢驗方法有:奈爾(Nair)檢驗法、狄克遜(Dixon)檢驗法、格拉布斯(Grubbs)檢驗法、U 檢驗法、Z 檢驗法、T 檢驗法、χ2 檢驗法、F 檢驗法等.筆者應用Grubbs檢驗法、F 檢驗法以及T 檢驗法,對金屬材料室溫拉伸試驗過程進行了詳細的質控分析[11].
3 質量控制應用實例
3.1 試驗方法與結果
采用人員比對方式對金屬材料室溫拉伸試驗過程進行質量控制分析,確保試驗結果準確可靠.在相同的試驗環境條件下,兩位試驗人員采用相同的試驗方法和試驗步驟,利用同一臺儀器,對同一批試樣分別進行重復試驗.試驗結果采用統計假設檢驗方法進行分析,首先利用Grubbs檢驗法進行離群數據判定,然后利用F 檢驗法進行等精度測量判定,最后利用T 檢驗法進行數據一致性判定.
3.1.1 試驗目的
試驗目的為對金屬材料室溫拉伸試驗進行質量控制.
3.1.2 試驗方法
依據GB/T228.1-2010«金屬材料拉伸試驗第1部分:室溫試驗方法»[12]進行拉伸試驗.
3.1.3 試驗試樣
試驗試樣取自同一爐號、同一批次,并按GB/T1499.2-2007«鋼筋混凝土用鋼第2部分:熱軋帶肋鋼筋»[13]要求制作的熱軋帶肋鋼筋.試驗試樣共兩組,每組10根,試樣尺寸如下:長度400 mm,公稱直徑16 mm,公稱橫截面積
201.1mm2,原始標距80mm.
3.1.4 試驗步驟
兩位試驗人員分別對10根熱軋帶肋鋼筋試樣進行拉伸試驗,并記錄試驗結果(抗拉強度Rm、下屈服強度ReL、斷后伸長率A80mm).在試驗過程中,除了按照操作規程要求采用相同的操作步驟外,均采用GB/T228.1-2010中的方法B 進行試驗控制,并且為避免試驗速率對試驗數據的影響,以便獲得良好的比對數據,對本次使用的WAWG1000型電液伺服萬能試驗機,在彈性階段和屈服階段均采用3 mm??min-1 的位移速率,屈服之后均采用10mm??min-1的位移速率.
3.1.5 試驗環境
試驗環境溫度為(23±5)℃,濕度為40%~70%.
3.1.6 試驗儀器
采用WAWG1000型電液伺服萬能試驗機進行拉伸試驗,其基本參數如下:最大試驗力為1000kN;示值準確度等級為0.5級;試驗力測試量程為滿量程的1%~100%;變形測量范圍為滿量程的1%~100%;試驗力加載速率范圍為滿量程的(0.02% ~2%)s-1;圓試樣夾持范圍為?15~60mm;扁試樣夾持范圍為2~40mm.
3.1.7 試驗結果
兩位試驗人員對熱軋帶肋鋼筋試樣進行拉伸試驗的結果如表1所示.
3.2 數據分析
3.2.1 Grubbs檢驗(離群數據判定)采用Grubbs檢驗法對同組數據是否存在離群數據進行雙側情形檢驗.計算步驟如下所示,判定結果如表2所示.
式中:X (n)為該組數據經有序排列后的最大值;X—為該組數據的平均值;S 為該組數據的標準偏差;X (1) 為該組數據經有序排列后的最小值.
(2)確定檢出水平,取顯著性水平α=0.05,查Grubbs 檢驗法臨界值表可得:G1-α2(n) =2.29(n =10).
(3)若Gn <G′n <G1-α2(n)或G′n < Gn <G1-α2(n),可判斷該組數據不存在離群值.
3.2.2 F 檢驗(等精度測量判定)
采用F 檢驗法對兩組對比數據是否為等精度測量進行檢驗,計算步驟如下所示,判定結果如表3所示.
進行檢驗,計算步驟如下所示,判定結果如表3所示.
(1)依據下式計算出統計量F
式中:S1 為兩組對比數據的大值標準偏差;S2 為兩組對比數據的小值標準偏差;自由度f1=n1-1;自由度f2=n2-1.
(2)取顯著性水平α=0.05,查F 分布臨界值表
可得概率p=0.95水平下的統計量:Fp (f1,f2)=F0.95(9,9)=3.18(f1=10-1,f2=10-1).(3)若F(f1,f2)<Fp (f1,f2),可判斷該兩組對比數據屬于等精度測量.
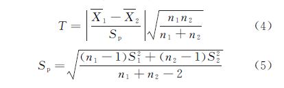
3.2.3 T 檢驗(數據一致性判定)
采用T 檢驗法對兩組對比數據的一致性進行檢驗,計算步驟如下所示,判定結果如表4所示.
(1)依據下式計算出統計量T
式中:X1,X2 為兩組對比數據的平均值;S1,S2 為兩組對比數據的標準偏差;Sp 為兩組對比數據的合并標準偏差.
(2)取顯著性水平α=0.05,自由度f =n1 +n2-2=10+10-2=18,查T 分布雙側臨界值表可得:Tα,f =T0.05,18=2.10.
(3)若T <Tα,f ,可判斷該兩組對比數據結果一致.

4 結束語
應用實例表明,基于統計假設檢驗的數據分析方法Grubbs檢驗法、F 檢驗法、T 檢驗法,可用于對金屬材料室溫拉伸試驗數據進行離群數據判定、等精度測量判定、數據一致性判定等質控分析,從而保證金屬材料室溫拉伸試驗方法及檢驗過程在有效控制范圍內,檢驗數據準確可靠,符合日常檢驗要求.與其他分析方法比較來看,基于統計假設檢驗技術的質量控制和數據分析可以更加科學、合理、準確地評價檢驗過程,值得相關技術人員參考.
(文章來源:材料與測試網)





浙公網安備 33042402000106號 a>

