分享:硅灰含量對碳氈/水泥復合材料摩擦學性能的影響
馬少華1,費昺強1,周 松2,回 麗1
(沈陽航空航天大學 1.機電工程學院;2.航空制造工藝數字化國防重點實驗室,沈陽 110136)
摘 要:采用掃描電鏡分析和疲勞試驗等方法,研究了腐蝕預損傷和鹽水環境對7XXX 鋁合金細節疲勞性能的影響,并探討了對疲勞裂紋萌生和擴展的影響機理.結果表明:腐蝕預損傷和鹽水環境對7XXX鋁合金細節疲勞性能的影響較為顯著;以未腐蝕試樣在實驗室空氣環境下的細節疲勞額定強度截止值為基準,預腐蝕48h試樣在實驗室空氣環境下的細節疲勞額定強度截止值的保持率為97%,未腐蝕試樣和預腐蝕48h試樣在鹽水環境下的細節疲勞額定強度截止值的保持率分別為73%和67%.
關鍵詞:鋁合金;腐蝕預損傷;鹽水環境;細節疲勞額定強度截止值
中圖分類號:O346;V216 文獻標志碼:A 文章編號:1000G3738(2017)05G0063G05
InfluenceofPreGcorrosionDamageandSalineEnvironmenton
DetailFatiguePropertyofAluminumAlloy
MAShaohua1,FEIBingqiang
1,ZHOUSong
2,HUILi1
(1.CollegeofElectromechanicalEngineering;2.KeyLaboratoryofFundamentalScienceforNationalDefenseof
AeronauticalDigitalManufacturingProcess,ShenyangAerospaceUniversity,Shenyang110136,China)
Abstract:TheeffectsofpreGcorrosiondamageandsalineenvironmentonthedetailfatiguepropertyof7XXX
aluminumalloywereinvestigatedbySEManalysisandfatiguetests.InfluencemechanismofpreGcorrosiondamage
andsalineenvironmentontheinitiationandpropagationoffatiguecrackwasalsodiscussed.Theresultsshowthat
preGcorrosiondamageandsalineenvironmenthadsignificanteffectsonthe detailfatigue property of7XXX
aluminumalloy.Thedetailfatigueratingcutoffvalueforuncorrodedsampletestedinlabairwaschosenasa
benchmark,thedetailfatigueratingcutoffvalueretentionratesfor48hpreGcorrodedsampleinlabair,uncorroded
sampleinsalineenvironmentand48hpreGcorrodedsampleinsalineenvironmentwere97%,73% and67%,
respectively.
Keywords:aluminumalloy;preGcorrosiondamage;salineenvironment;detailfatigueratingcutoffvalue
0 引 言
民用飛機耐久性設計廣泛采用的細節疲勞額定值(DFR)方法是在20世紀80年代由美國波音公司提出的,經 過 不 斷 發 展 成 為 一 種 快 速 疲 勞 分 析 方法[1G2].細節疲勞額定值是指在應力比 R 為0.06、置信度為95%、可靠度為95%的條件下,結構能承受105 周次循環所對應的最大名義應力值(疲勞強度),其上限稱為細節疲勞強度截止值,下限為結構允許使用的最小細節疲勞強度值[3G4].細節疲勞額定值主要用于評定結構以及其所采用材料的抗疲勞能力,不受載荷變化的影響,因此該值是評價材料固有疲勞特征與結構固有疲勞特征的重要參數.也正是由于此原因使得細節疲勞額定值方法成為評估細節疲勞壽命最行之有效的方法之一,并逐漸獲得了民機疲勞壽命和耐久性設計人員的青睞[5].
飛機經常在雨水、鹽霧、海水、潮濕空氣等腐蝕性環境 和 交 變 載 荷 共 同 作 用 的 “復 合 環 境”下 使用[6].腐蝕損傷是飛機結構在整個服役階段損傷的主要模式,隨著飛機的老齡化,腐蝕損傷對飛行安全的威脅越來越大[7].飛機結構的使用壽命主要取決于結構質量和使用條件(載荷和使用環境),而細節疲勞性能決定了結構質量.因此,對不同環境下飛機結構的細節疲勞性能進行研究具有重要的工程實際意義.
近年來,國內外的眾多學者在鋁合金腐蝕預損傷、腐蝕疲勞和結構細節疲勞性能等方面進行了許多研究,但都是單獨對某一方面進行研究,將兩者結合起來研究得還比較少.陳先民等[8]為了將細節疲勞額定值法應用于含多相似疲勞細節結構的疲勞分析,依據細節疲勞額定值法和系統可靠性模型,建立了含多相似疲勞細節結構的細節疲勞額定值估算模型.康青山等[9]對2A12GT4鋁合金進行了加速環境試驗,并通過疲勞試驗計算得到了細節疲勞額定強度,得到了其與停放時間的函數關系式.在腐蝕預損傷和腐蝕疲勞方面,張有宏[10]對 LY12CZ鋁合金進行了 預 腐 蝕 后 的 疲 勞 和 腐 蝕 疲 勞 試 驗,得 出SGN 曲線,初步建立了腐蝕損傷與疲勞壽命降低之間的關系.宮 玉 輝 等[11]研 究 了 不 同 腐 蝕 環 境 下7475GT7351鋁合金的疲勞性能及疲勞裂紋擴展速率.KIMBERLI等[12G14]對 2024 鋁合金及 7075 鋁合金的腐蝕損傷及疲勞壽命預測進行了研究.作者分別在實驗室空氣和鹽水環境中,對未腐蝕和預腐蝕48h的7XXX 鋁合金試樣進行了疲勞試驗,研究了腐蝕預損傷和鹽水環境對鋁合金細節疲勞性能的影響.
1 試樣制備與試驗方法
將7XXX鋁合金加工成細節疲勞額定強度截止值試樣,沿軋制方向取樣.7XXX 鋁合金的化學成分見表1.按標準 HB7110-1994«金屬材料細節疲勞額定強度截止值(DFRcutoff)試驗方法»的要求進行預制損傷,一邊用人工敲擊制作,另一對角邊用挫削制作,將加工好的試樣等分成四組.試樣的形狀及尺寸如圖1所示.對其中的兩組試樣進行預腐蝕處理,即將試樣完全浸泡于丙酮中,超聲清洗15min后放置于專用夾具上通風晾干,隨后將其再浸泡于質量分數為3.5%的NaCl溶液中,48h后取出并去除表面的腐蝕產物,用去離子水清洗干凈后吹干備用.
實驗室空氣環境的溫度為(20±5)℃,相對濕度小于50%.鹽水環境為采用 NaCl和去離子水配制而成的質量分數為3.5%的 NaCl溶液,試驗時試樣完全浸沒于鹽水溶液中,腐蝕裝置內的溶液為連續循環,每周更換一次.按照金屬材料細節疲勞額定強度截止值試驗方法進行疲勞試驗,實驗室空氣環境和鹽水環境下的試驗頻率均為10 Hz,加載波形為正弦波.將未腐蝕試樣和預腐蝕48h后的試樣分別在鹽水環境和實驗室空氣環境下進行應力比R 為0.06的疲勞試驗.采用4級成組法確定試樣的中值SGN 曲線,試樣的數量滿足由變異系數確定的最小試驗個數,中值疲勞壽命區間為 1×104 ~5×105,置信度 滿 足95%.若試樣未在預制損傷部位斷裂或斷口上有明顯的冶金缺陷或其他缺陷,則試驗數據無效.
采用 NovaNanoSEM450型掃描電子顯微鏡(SEM)觀察試樣的疲勞斷口形貌,分析腐蝕預損傷及鹽水環境對7XXX鋁合金細節疲勞性能的影響.
2 試驗結果與討論
2.1 疲勞性能
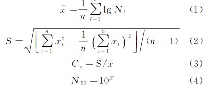
將未腐蝕試樣和預腐蝕48h的試樣在實驗室空氣環境和鹽水環境下進行疲勞試驗,試驗結果如表2所示.參照 HB/Z112-1986«材料疲勞試驗統計分析方法»對試驗數據進行處理,用小子樣數據估計母體參數,根據式(1)~(4)分別計算未腐蝕試樣和預腐蝕48h試樣在實驗室空氣環境和鹽水環境下子樣的平均值x- 、標準差S、子樣變異系數Cv 和中值疲勞壽命 N50,結果列在表2中.
2.2 雙點法求解細節疲勞額定強度截止值
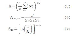
根據式(5)和(6)求得置信度、可靠度均為95%的疲勞壽命 N95/95,結果列于表3中.分別將不同狀態試樣及不同試驗環境下的 N95/95 畫在縱、橫坐標分別為最大應力和疲勞壽命的雙對數坐標系上,連接相應兩個 N95/95點的直線與壽命 N =105 交點的最大應力即是該條件下試樣的細節疲勞額定強度截止值,如圖2所示,求得的細節疲勞額定強度截止值見表3.
式中:β 為特征壽命;SR 為可靠度系數,SR =2.1;α為 Weibull分布函數的形狀參數,對于鋁合金α=4;R 為試驗所要求的可靠度,R=95%;ST 為標準試樣的試樣系數,ST =1;SC 為置信度系數,通過查表4可獲得。
從圖2及表3中數據可以看出,腐蝕預損傷和鹽水環境對鋁合金細節疲勞額定強度截止值的影響較大,且鹽水環境的影響更大.若以未腐蝕試樣在實驗室空氣環境下的細節疲勞額定強度截止值為基準,則預腐蝕48h試樣在實驗室空氣環境下的細節疲勞額定強度截止值的保持率為97%,未腐蝕試樣在鹽水環境下的細節疲勞額定強度截止值的保持率
為73%,預腐蝕48h試樣在鹽水環境下的細節疲勞額定強度截止值的保持率為67%.
2.3 腐蝕預損傷對鋁合金疲勞壽命的影響
從圖3中可以看出:在實驗室空氣環境和鹽水環境下,預腐蝕48h試樣的疲勞壽命均低于未腐蝕試樣的疲勞壽命;與預腐蝕48h試樣相比,未腐蝕試樣的疲勞壽命數據更加分散.同一條曲線在低應力水平下的疲勞壽命數據比高應力水平下的疲勞壽命數據更加分散.腐蝕預損傷會在試樣上留下腐蝕坑,腐蝕坑處的局部應力急劇升高,在疲勞載荷作用下,預腐蝕處的應力集中效應加強,裂紋快速萌生,使得裂紋萌生階段占疲勞壽命的比例減少,因此疲勞性能下
降,疲勞壽命數據更加集中[16].
圖3 實驗室空氣環境和鹽水環境下腐蝕預損傷對7XXX
鋁合金疲勞SGN 曲線的影響
Fig.3 InfluenceofpreGcorrosiondamageonSGN curvesof7XXX
aluminumalloyinlabair a andsalineenvironment b
2.4 鹽水環境對鋁合金疲勞壽命的影響
從圖4中可以看出:未腐蝕試樣和預腐蝕48h試樣在鹽水環境下的疲勞壽命明顯低于實驗室空氣環境下的疲勞壽命,且在低應力幅值時這種差距更明顯;對于未腐蝕和預腐蝕48h試樣,在實驗室空氣環境下的疲勞壽命數據較鹽水環境下的更加分散.鹽水環境有效地助長了裂紋的起裂和擴展.在裂紋起裂階段,鹽水腐蝕造成試樣表面損傷,疲勞裂紋起裂得更快;鹽水環境對裂紋擴展的加速作用是
由裂紋擴展和鹽水腐蝕過程的交互作用造成的,鹽水進入裂紋尖端加速了裂紋擴展.因此,鹽水環境對鋁合金疲勞性能的影響更為顯著.
2.5 疲勞斷口形貌
鹽水環境下產生的腐蝕坑使試樣的應力集中效應得到了加強,疲勞裂紋源在腐蝕坑底部萌生,大幅縮短了裂紋萌生的時間,縮了裂紋萌生壽命;在疲勞和鹽水腐蝕的交互作用下,裂紋尖端的循環滑移和破壞機制(解聚)使得裂紋加速擴展,所以7XXX鋁合金在鹽水環境下的疲勞性能大幅下降.
3 結 論
(1)腐蝕預損傷及鹽水環境對7XXX鋁合金細節疲勞性能的影響較為顯著;以未腐蝕試樣在實驗室空氣環境下的細節疲勞額定強度截止值為基準,預腐蝕48h試樣在實驗室空氣環境下的細節疲勞額定強度截止值的保持率為97%,未腐蝕試樣在鹽水環境下的細節疲勞額定強度截止值的保持率為73%,預腐蝕48h試樣在鹽水環境下的細節疲勞額定強度截止值的保持率為67%.
(2)在實驗室空氣環境和鹽水環境下,預腐蝕48h試樣的疲勞壽命均低于未腐蝕試樣的疲勞壽命,且未腐蝕試樣的疲勞壽命數據相對分散.
(3)未腐蝕和預腐蝕48h試樣在鹽水環境下的疲勞壽命明顯低于在實驗室空氣環境下的疲勞壽命,且在低應力幅值時這種差距更加明顯,實驗室空氣環境下的疲勞壽命數據較鹽水環境下的更加分散.
3 結 論
(1)一次射流區空蝕坑底部的晶粒彎曲變形,而混合射流區的截面組織無明顯變化.
(2)在一次射流區,隨空化水射流沖蝕時間的延長,純銅表面的空蝕坑和空蝕針孔數量增多,晶粒形貌開始顯現,同時出現大量的變形滑移帶;混合射流區在短時間內出現大而淺的空蝕坑,且空蝕坑底部觀察到晶粒形貌,隨著時間延長整個混合射流區的晶粒形貌全部顯現;空蝕坑是以空蝕針孔聚集導致少量金屬剝落這種形式長大的.
(3)隨空化水射流沖蝕時間的延長,一次射流區和混合射流區的表面粗糙度均逐漸增大,且混合射流區的表面粗糙度大于一次射流區的.
(4)混合射流區的硬化層厚度和近表層硬度均比一次射流區的大,硬化層厚度達到700μm.





浙公網安備 33042402000106號 a>

