防松螺母的設計注意事項
螺紋緊固件因結構緊湊、拆裝方便、連接力大、反復使用的優點,其在設備使用中具有較大的優越性,確保了機械系統的可靠與穩定性,螺絲緊固件已成為標準化部件之一,廣泛被用天常見的機械裝備中,如飛機、高鐵列車、工程車輛、船舶等重型或特種機械裝備領域,傳統螺紋聯接在靜態環境溫度下,自鎖能達到要求,無需考慮防松結構設計,當結構受到沖擊或振動時螺紋聯接預緊力逐漸降低尤其是在橫向環形動態載荷的情況下更加明顯,最終導致螺母脫落,在實際應用中這種故障,有時會帶來非常嚴重的災難性后果,隨著工業時代的高速發展,解決螺紋聯接結構在工作中出現松脫問題已成為當前必須面對的重要問題之一。設計更加安全可靠的螺母尤為重要,常用的防松法主要有加彈簧墊、止動墊片、尼龍嵌件螺或打螺紋膠等方式,各種技術性能參差不齊。文章總結防松設計存在的問題,并著重分析和介紹一種新型防松螺母的結構設計。
1 螺母松動的原因
螺母松動指的是螺母擰緊后軸向的預緊力降低。常見的松動可能是被聯接件反復相對滑動、磨損或螺栓和聯接零件的塑性變形造成的。螺栓預緊力在各聯接零件中起著決定性作用,螺栓預緊力的降低可直接導致被聯接零件的功能喪失。產生松動的方式有旋轉松動和非旋轉松動兩種,這兩種都是內外螺絲之間發生相對轉動發生的,螺栓松動會出現一系列問題,如聯接零件的分離、脫落、滑動,從而導致被聯接件出現位移、碰撞的情況。隨著振動幅度增加,剛性下降,螺栓與聯接件也可能出現疲勞損壞。由此可見,防止螺栓松動在零件聯接中有重要的作用[1]。
2 螺紋緊固的基本原理
螺紋緊固的基本原理是斜面原理,即當物體的放置面與水平面呈現β 角時,為了推動這個物體,在不考慮斜面摩擦力的情況下,必須施加大于Wsinβ 的力。β 角越小,推力Wsinβ 也越小。
螺栓的擰緊過程指的是螺母相對螺栓在斜面上移動,通過施加較小的力Wsinβ 就可以得到較大的螺栓軸向預緊力W,現實中斜面必然存在摩擦力,在不考慮斜面摩擦力的情況下,推動W 需要的力為Wsinβ+μsWcosβ,如圖1 所示。

圖1 螺栓緊固原理
3 導柱防松的主要因素
3.1 預緊力的影響
螺栓栓松動的因素有很多。經過實驗發現在較大預緊力的情況下能夠有效提高螺栓的防松性能,在擰緊的過程中,螺栓發生了屈服,螺栓的軸向預緊力和緊固扭矩不成比例,螺栓用扭矩法擰緊,則必須避免螺栓的屈服。在研究中使用三種螺栓螺母組合進行振動測試,在預緊力過大的情況下其中一個組合的疲勞失效過程如圖2 所示,在測試過程中隨著循環加載次數的不斷增加,最終導致螺栓失效[2]。

圖2 疲勞屈服曲線
3.2 預緊力與預緊力矩的關系
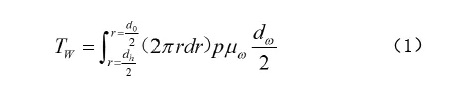
為了保證螺紋聯接有效必然存在預緊力,預緊力矩是通常是利用控制緊固扭矩來擰緊螺紋類緊固件,常用的工具有扭力扳手這中設備能有效控制緊固扭矩。預緊力與預緊力矩之間存在著復雜的關系,受到多種因素的影響,通過實驗儀器可以更方便地確定兩者之間的關系,同時測量出預緊力在螺絲之間和擰緊過程中螺紋南與支承面上的陰力信息如圖3所示。
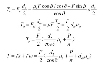
螺栓的擰緊過程是一個克服摩擦的過程,在這一過程中存在螺紋副的摩擦及端面摩擦。通常情況下,裝配扭矩約90%都由螺紋副摩擦及端面摩擦消耗掉了,只有約10% 轉化為螺栓軸向夾緊力。理論上,螺栓擰緊過程中擰緊扭矩T、螺栓軸向預緊力F、摩擦系數及螺紋形狀等多種因素的影響它們之間的關系如下。



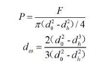
式中:d2 為螺紋中徑,dω 為支承面等效摩擦直徑,d0 為螺母支承面外徑,dh 為螺栓孔直徑,P 為螺距,F 為螺紋軸向預緊力。
螺紋扭矩Ts 和支承面摩擦扭矩Tω 表達式如下:

4 防松措施
螺栓和螺母松動的原因都是被聯接件發生往復的相對滑動,防止螺栓或螺母旋轉松動措施是限制被聯接件之間的相對滑動,主要方法是選用高強度、高韌性的材料避免開始階段產生塑性變型,目前的防松技術主是抑制松動即控制滑動僅存在低于臨界滑滿范圍內[3]。
4.1 雙螺母
雙螺母是一種常用的應對松動的方法,如果正確裝配雙螺母可以產生較大的旋轉阻力矩,如果螺母裝配不正確則是無用的,正確的裝配擰緊方法如圖5 所示,先擰緊下螺母到指定的扭矩T1,然后擰緊上螺母到規定的扭矩T2,將上螺母固定在原來的位置,沿松開方向轉動下螺母直到上下螺母的接觸面相互壓緊為止。
4.2 彈簧墊片
彈簧墊圈的基本作用是在螺母擰緊之后給螺母一個力,增大螺母和螺栓之間的摩擦力。也就是為了防止運行中的設備震動造成緊固螺栓的松動,而增加的一種防護措施。彈簧墊圈的防松原理是在把彈簧墊圈壓平后,彈簧墊圈會產生一個持續的彈力,使螺母與螺栓的螺紋連接副持續保持一個摩擦力,產生阻力矩,從而防止螺母松動。彈簧擴墊片只是在低軸向預緊力范圍是有效的(軸向預緊力低于彈簧墊片的完全壓縮負荷),在此范圍內,彈簧墊片發揮彈簧的功能。在正常、適當的軸向預緊力范圍內,它處于安全壓縮狀態,使得墊片只能發揮隔離片的功能。
4.3 鐵基SMA 螺母防松
鐵基形狀記憶合金防松螺母的防松是通過增大自鎖摩擦力矩防松和阻尼防松兩種方式來實現的。該螺母利用鐵基形狀記憶合金的形狀記憶效應,可將螺母內螺紋加工成略小于螺栓外螺紋的尺寸,然后擴孔變形至標準螺母內螺紋的尺寸,因為在此過程產生應力誘發馬氏體相變,按規定力矩擰緊后,對螺母加熱,應力誘發馬氏體發生逆相變,受到螺栓的約束作用,螺母會產生巨大徑向回復力,該回復力轉化為自鎖摩擦力矩,能有效增大螺旋副之間的鎖緊力矩,從而防止螺旋副出現相對轉動,達到防松目的。
4.4 施必牢防松螺紋
在內螺紋的牙底處有一個30°的楔形斜面,當螺栓螺母相互擰緊時,螺栓的牙尖就緊緊地頂在施必牢螺紋的楔形斜面上,從而產生了很大的鎖緊力。牙形的角度改變使施加在螺紋間接觸所產生的法向力與螺栓軸成60°,而不是像普通螺紋那樣的30°。顯然施必牢螺紋法向壓力遠遠大于扣緊壓力,所產生的防松摩擦力也就必然大幅度增加了。
4.5 Hard Lock 防松螺紋
Hard Lock 螺母的構思十分簡單,就是在螺母與螺絲之間揳入楔子以發揮防止松動的作用。在一個螺絲釘上使用呈“凹”“凸”形狀的兩種螺母。下方呈凸狀的螺母,在加工時中心稍許錯動(偏心加工),起到楔子的作用。上方呈凹
狀的螺母,則不作偏離中心的加工(圓形加工),于是形成了錘子揳打楔子的功能。
4.6 一種新型防松螺母
該新型防松螺母,是通過主螺母內的彈性螺母產生預緊力來實現防松,螺母內的彈性螺母正常處于變形即無預緊力的狀態下,當卸力螺母松開后彈性螺母形變產生預緊力抓緊螺絲從而實現主螺母防松,如需要拆卸時先通卸力螺母壓緊彈性螺母消除預緊即可拆下主螺母。
5 結束語
螺紋緊固件在日常生活中普遍存在,為了防此結構出現松、脫、掉等聯接失效問題,導致的安全生產事故時常發生,抑制松動第一步首先則是選擇使用高強度、高韌性的材料和高精度的加工技術,避免材料在早期就出現自松動的現象,第二步是摩擦防松。這是應用最廣的一種防松方式,這種方式在螺紋副之間產生一不隨外力變化的正壓力,以產生一可以阻止螺紋副相對轉動的摩擦力。這種正壓力可通過軸向或同時兩向壓緊螺紋副來實現。如采用彈性墊圈、雙螺母、自鎖螺母和尼龍嵌件鎖緊螺母等。這種防松方式對于螺母的拆卸比較方便,但在沖擊、振動和變載荷的情況,一開始螺栓會因松弛導致預緊力下降,隨著振動次數的增加,損失的預緊力緩慢地增多,最終將會導致螺母松脫、螺紋聯接失效,同時在結構設計時應該隔絕使用結構產生松動的源頭,盡量避免螺紋機構受到外力沖擊、循環載荷特別是橫向循環載荷的作用力,在實際應用中可選用預緊力大、摩擦系數較大的螺母提升防松性能。從而避免給生產和生活帶來安全隱患。






浙公網安備 33042402000106號 a>

